Texas Instruments TLVx171/TLVx171-Q1 36V汎用オペアンプ
Texas Instruments TLVx171/TLVx171-Q1 36V汎用オペレーショナルアンプは、コスト重視の産業用および個人的な電子機器システム用の低消費電力オプションがあります。これらのデバイスは、EMI強化、低ノイズかつ2.7V電源範囲(±1.35V)〜36V(±18V)で動作する単電源オペレーショナルアンプに理想的です。シングルチャンネルTLV171/TLV171-Q1、デュアルチャンネルTLV2171、クワッドチャンネルTLV171は、電力用に高帯域幅を備えた低オフセット、ドリフト、零入力電流バランスを提供しています。これらの各デバイスはスペースに制約のあるシステムようにマイクロパッケージでご用意しており、最大限の設計の柔軟性のために同一の仕様を特徴としています。1つの供給電圧のみを指定する多くのオペアンプとは異なり、TLVx171/TLVx171-Q1ファミリは、2.7V~36Vを指定します。TLVx171-Q1デバイスは、車載アプリケーションとしてAEC-Q100に承認されています。特徴
- 供給範囲: 2.7V~36V、±1.35V~±18V
- 低ノイズ: 16nV/√Hz
- 低オフセットドリフト: ±1µV/°C(typ)
- RFIフィルタ入力によるEMI強化
- 負電源が含まれる入力範囲
- ユニティゲイン安定性: 200pF容量性負荷
- レールツーレール出力
- ゲイン帯域幅: 3MHz
- 低自己消費電流: アンプあたり525µA
- 高コモンモード除去: 105dB(typ)
- 低バイアス電流: 10pA
アプリケーション
- トランスデューサ
- 通貨カウンタ
- AC-DCコンバータ
- 電源モジュール
- インバータ
- テスト装置
- バッテリ駆動計器
- TFT-LCD駆動回路
- アクティブフィルタ
Datasheets
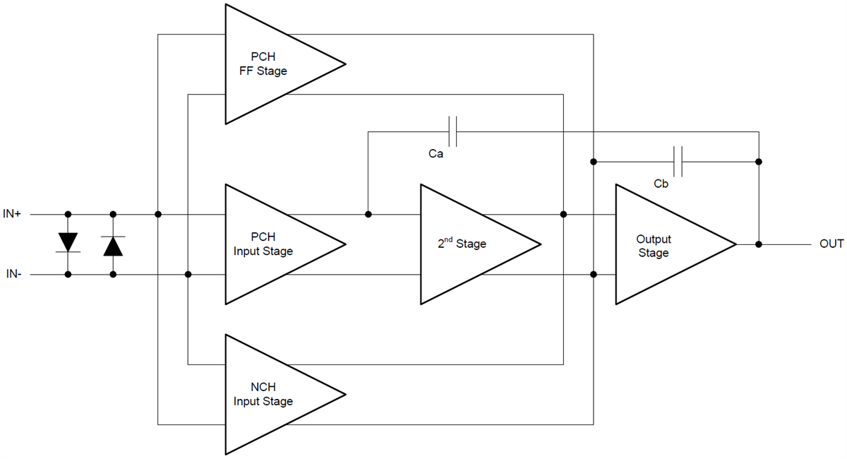
機能ブロック図
公開: 2017-04-26
| 更新済み: 2022-04-26
