HUBER+SUHNER SUCOFLEX® 126E Microwave Cable Assemblies
HUBER+SUHNER SUCOFLEX® 126E Microwave Cable Assemblies combine the low loss and power of SUCOFLEX 104 with the phase stability of SUCOFLEX 104P. These cable assemblies operate up to a 26.5GHz frequency range. HUBER+SUHNER SUCOFLEX 126E Cable Assemblies feature excellent return loss, high flexibility, low loss, a wide range of connectors, and excellent phase and amplitude stability. These cable assemblies offer 50Ω impedance and operate at -40°C to 85°C temperature range.Features
- Up to 26.5GHz operating frequency
- Excellent return loss
- Excellent phase and amplitude stability
- Low loss
- Wide range of connectors
- 50Ω impedance
- 87pF/m capacitance
- 4.3ns/m signal delay
- ≥1 x 108MΩm insulation resistance
- -40°C to +85°C operating temperature range
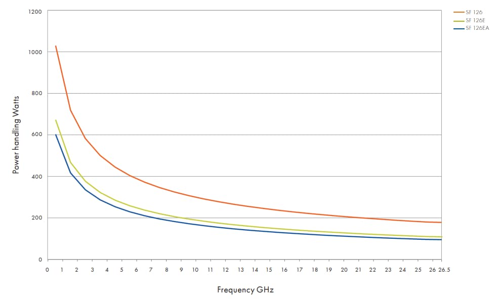
Power Handling
Additional Resources
Associated Tool
公開: 2019-07-22
| 更新済み: 2025-04-15
